MAG3D Ver 4.0 Help: Graphical User Interface - One-page version
UBC-GIF gif

This page contains brief instructions on using the MAG3D graphical user interface (shown to the right). It is provided as a printable version of the HTML "point-and-click" version, available by clicking here.

Menus

The four menus provide essentially the same functions as the tool-bar buttons described below, except for:

Save button
The parameter set in the GUI window must be saved before an inversion can be run. The results of inversion will be placed in the directory where this input file is saved.

Important note about directories:
Save each inversion run into a new directory because all output files get saved using default names.

Help button
This basically gives the program name and version number, and some notes about it's development. Please be aware of the copyright notice.

Run and kill buttons

The inversion can be run only after the parameters have been saved using the save button.

Use the "kill run" button to stop an inversion before it ends by itself. Do not end an inversion prematurly by closing the DOS window. This button is inactive unless an inversion is underway.

View resulting log, data and model files.

Four buttons here provide access to inversion results, and to log files summarizing the inversion program's performance.

Data file

Specify the input data file here. See the MAG3D user manual for data file format. You can enter the file name (including full path), or drag and drop from Windows Explorer.

The View Data button opens the data set in a new window by running the gm-data-viewer.exe program.

Mesh

The mesh which defines the model is specified here. See the user manual section 2.2 (FILE: mesh) for details.

If a mesh has not been generated, a default mesh can be created using the Create mesh ... button. A data file must already be specified. This dialogue appears:

Specify the size of square cells in the core region (under the data set) by entering their width in units of metres. Cell depths will be half this width. Specify the elevation in metres for the top of the mesh. This must be above the topograpy. There are remarks on topograpy and meshes in several places in the manual, including section 2.2 FILE: mesh, and section 2.2 FILE: topo.dat.

The default mesh created by this dialogue will include 3 padding cells around the core region. These cells increase in size at greater distances from the core.

Wavelet compression parameters.

The compression used to speed up dense matrix multiplication is specified here.

Topography file

No topography file is necessary if the Earth's surface under the data set is assumed flat. If topography is significant then it should be specified, as per the user manual, section 2.2 FILE: topo.dat.

There are remarks on topograpy and meshes in several places in the manual, including section 2.2 FILE: mesh, and section 2.2 FILE: topo.dat.

Inversion mode

MAG3D Version 3.x can determine the tradeoff parameter in either of three ways.

  1. Select chifact, and enter a value for chifact. The program chooses the tradeoff parameter by carrying out a line search so that a target value, , of data misfit is achieved. This target value is = chifact x N, where N is the number of data points. This is a common option if errors on data are assumed to be Gaussian and un-correlated.
  2. Select user and enter a fixed value for the tradeoff parameter. This option is rarely used in practice.
  3. Select GCV to ask the program to calculate a tradeoff parameter by applying the GCV analysis to the inversion without positivity. This option is computing intensive.

See the user manual section 1.6 for details regarding these three methods of choosing regularization.

Setting bounding constraints

This section allows for specification of upper and/or lower bounding values for susceptibilities of each cell. There are three ways of specifying bounds:

  1. Default: If the user chooses to not define upper and lower bounds, the program employs default bounds for susceptibilities in every cell of 1.0 and 0.0 respectively (S.I. units). While it is true that some rocks have susceptibility greater than 1.0, MAG3D Version 4.0 still assumes small susceptibilities, as this code has done since the original version. When there are very high susceptibilities, the relation between incident and induced magnetization is no longer linear, and the problem becomes more complicated. Inverting data in the presence of very high susceptibilities is still a topic of research, and MAG3D Version 4.0 does not allow for high susceptibilities in the solution.
  2. Upper and lower values: Use this option if you want to set a single upper bound value and a single lower bound for all cells.
  3. Using a file: Each cells can have individual upper and lower bounds if a bounds.sus file is specified. See the MAG3D manual Chapter 2.

Initial model

This is the first susceptibility model the program works with. The outcome of the inversion should not depend much on this model, but if the initial model is close to the final one then convergence can be expected much more quickly.

Reference model

This is the reference susceptibility model that is part of the model objective function. The inversion will try to minimize the difference between the final model and this reference.

Model objective function coefficients.

These are the parameters that control how much emphasis is placed on each part of the model objective function.

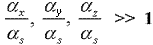
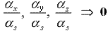
Influence of Alphas on results

Consider the ratios , and . Larger ratios result in smoother models.  As a rule of thumb, keep this table in mind:

Structure is penalized. Constant reference models has little effect.
Smallest term dominates, so models are rough.

To estimate values for the 's for a specific case, start by defining two length scale terms as follows:
 

,    and  

Then consider these rules of thumb to help choose the 's: In general, keep Lx and y approximately the same as the shortest array separation, and keep Lx and y approximately equal to Lz. Also, the following relations are useful: '

LX or Y > mesh cell width
LZ > mesh cell thickness
LX or Y < total width of the mesh
LZ < total depth of the mesh

Top of MAG3D GUI help.
The user manual for MAG3D (PDF format) has complete details on every parameter and all file structures.